11. What is the range of frequencies covered under S-Band used for TV signal transmission?TV सिग्नल ट्रांसमिशन के लिए उपयोग किए जाने वाले S-बैंड के तहत आने वाली आवृत्तियों की सीमा क्या है? (A) 41 MHz to 68 MHz (B) 88 MHz to 104 MHz (C) 104 MHz to 174 MHz (D) 174 MHz to 230 MHzANSWER - CShow Answer
12. Which signal is processed from R-Y and B-Y signals in colour TV receiver?रंगीन TV रिसीवर में R-Y और B-Y संकेतों में से कौन सा संकेत संसाधित होता है? (A) Luminance signal लुमिनस सिग्नल (B) Chrominance signal क्रोमिनेंस सिग्नल (C) Equalising pulse signal एक्वालिसिंग पल्स सिग्नल (D) Composite video signal कम्पोजिट वीडियो सिग्नलANSWER - BShow Answer
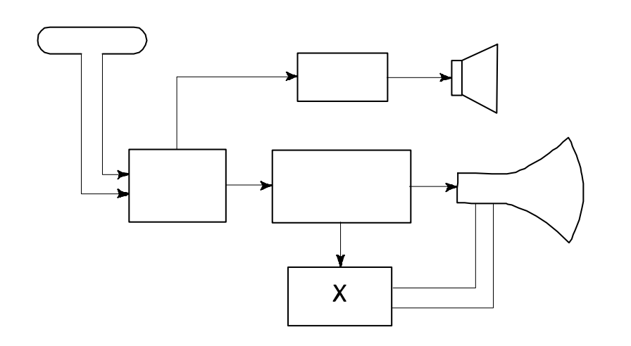
13. Which function is performed by the section marked "X" in the TV receiver?टीवी रिसीवर में "X" के रूप में चिह्नित खंड द्वारा कौन सा कार्य किया जाता है? (A) RF amplifier RF एम्पलीफायर (B) VIF section VIF सेक्शन (C) FM detector FM डिटेक्टर (D) Sync and scanning सिंक एंड स्कैनिंगANSWER - DShow Answer
14. What is the inter carrier signal in PAL system for TV transmission?TV प्रसारण के लिए PAL सिस्टम में इंटर कैरियर सिग्नल क्या है? (A) 2.5 MHz (B) 3.5 MHz (C) 4.5 MHz (D) 5.5 MHzANSWER - DShow Answer
15. What is the function of tuner in TV receiver?TV रिसीवर में ट्यूनर का कार्य क्या है? (A) Allows ghost image signal छाया छवि संकेत की अनुमति देता है (B) Allows adjacent channel signal निकटवर्ती वाहिकाओं संकेत की अनुमति देता है (C) Select the desired channel signal इच्छित चैनल संकेत का चयन करें (D) Modulated RF signal with audio signal ऑडियो संकेत के साथ संग्राहक आरएफ संकेतANSWER - CShow Answer