16. What is the name of the dismantled LCD monitor display part marked as ʹXʹ shown in the figure?चित्र में दिखाए गए ʹXʹ से चिह्नित विघटित LCD मॉनिटर डिस्प्ले भाग का नाम क्या है? (A) Fresnel lens फ्रेसनेल लेंस (B) Light filter plates लाइट फिल्टर प्लेट्स (C) Colour filter plates कलर फिल्टर प्लेट्स (D) Polarised glass plates पोलराइज्ड ग्लास प्लेट्सANSWER - DShow Answer
17. What is the sub carrier frequency used in PAL standard for modulating colour difference signals?रंग अंतर संकेतों को संशोधित करने के लिए PAL मानक में उप वाहक आवृत्ति का उपयोग क्या है? (A) 2.30 MHz (B) 3.58 MHz (C) 4.43 MHz (D) 5.50 MHzANSWER - CShow Answer
18. Which is represented by saturation in colour TV signal characteristics?रंगीन टीवी सिग्नल विशेषताओं में संतृप्ति द्वारा किसका प्रतिनिधित्व किया जाता है? (A) Purity of a colour एक रंग की पवित्रता (B) Amount of light intensity प्रकाश की तीव्रता की मात्रा (C) Seven colours of rainbow इन्द्रधनुष के सात रंग (D) Frequency and amplitude आवृत्ति और आयामANSWER - AShow Answer
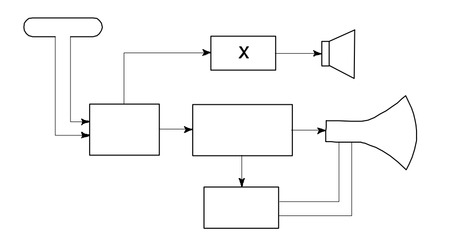
19. What is the function of the block marked "X" in the TV receiver?TV रिसीवर में X के रूप में चिह्नित ब्लॉक का कार्य क्या है? (A) Video section वीडियो अनुभाग (B) Sound section ध्वनि अनुभाग (C) Filter section फिल्टर अनुभाग (D) Tuner section ट्यूनर अनुभागANSWER - BShow Answer
20. How many odd fields are scanned in one second by the vertical sweep circuit in TV receiver?TV रिसीवर में ऊर्ध्वाधर स्वीप सर्किट द्वारा एक सेकंड में कितने विषम क्षेत्रों को स्कैन किया जाता है? (A) 25 (B) 50 (C) 625 (D) 15625ANSWER - AShow Answer